| Sign In | Join Free | My benadorassociates.com |
|
| Categories | Electrical Safety Testing Equipment |
|---|---|
| Brand Name: | Sinuo |
| Model Number: | SNE6809C |
| Certification: | Calibration Certificate (Cost Additional) |
| Place of Origin: | China |
| MOQ: | 1 |
| Payment Terms: | T/T |
| Delivery Time: | 30 days |
| Price: | Customized |
| Supply Ability: | 30 sets/month |
| Packaging Details: | Plywood Case |
| Applied Standard: | ISO 6469, IEC 62196, etc |
| AC Voltage Withstand Test: | 5000V/40mA |
| DC Voltage Withstand Test: | 6000V/10mA |
| Potential Equalization Test: | 0-600mΩ |
| Insulation Resistance Test: | 1000V/10GΩ |
| Vehicle Insulation Test: | 0.20-100.00MΩ |
| Capacity Coupling Test: | 2.0-2000.0mJ |
| Leakage Current Test: | 300V/5mA |
| Company Info. |
| Sinuo Testing Equipment Co. , Limited |
| Verified Supplier |
| View Contact Details |
| Product List |
ISO 6469 Electric Passenger Vehicle Electrical Safety Testing Equipment
Complied Standards & Clauses
ISO 6469-1:2019 Electrically propelled road vehicles — Safety specifications — Part 1: Rechargeable energy storage system (RESS)
IEC 62196:2020 Plugs, socket-outlets, vehicle connectors and vehicle inlets-Conductive charging of electric vehicles
GB 7258-2017 Safety technical conditions for motor vehicle operation
...
Equipment Overview
Special Safety Test System for new Energy Vehicles is suitable for vehicle safety testing and high-voltage electrical safety testing of new energy vehicles and passenger vehicles. It conforms to the national standard test content. It has been successfully applied to many domestic new energy vehicle manufacturers. The product quality and technical services have won customer’s approval and unanimously praised.
Technical Parameters
1. Capacitive coupling test
2. Potential equalization test
3. Insulation resistance of power load
4. Insulation resistance of charging socket
5. AC withstand voltage test
6. Vehicle insulation resistance test
7. DC withstand voltage test
8. Insulation detection function verification
9. Leakage current test
| Test Project | Range | Basic Accuracy |
| AC Voltage Withstand Test | 5000V/40mA | ±1.5% |
| DC Voltage Withstand Test | 6000V/10mA | ±1.5% |
| Potential Equalization Test | 0-600mΩ | ±1% |
| Insulation Resistance Test | 1000V/10GΩ | ±5% |
| Vehicle Insulation Test | 0.20-100.00MΩ | ±5% |
| Insulation Detection Function Verification | To verify that whether the insulation detection function is normal | / |
| Capacity Coupling Test | 2.0-2000.0mJ | ±1.5% |
| Leakage Current Test | 300V/5mA | ±1.5% |
Main Functions
1. Multifunctional: Including potential equalization test,
insulation resistance of charging socket, vehicle insulation
resistance, insulation detection function verification, capacity
coupling test, insulation resistance of power load, AC withstand
voltage, DC withstand voltage and leakage current test etc.
2. Screen display: 21.5-inch true color LCD screen is used, and the
interface of the test process is visible, which is convenient for
observation and judgment.
3. Open platform: It equipped with test program editing function,
test project editing function, test report editing and printing
function, user permission setting function etc.
4. Scan code function: It can record the vehicle VIN number, VSN
number and main accessories number, and automatically associate the
barcode to print the test report after test is completed.
5. Intelligent judgment: With Open/Short open and short circuit
check function, it is not allowed to find short problems in the
loop after high voltage output, to avoid the equipment and user
damage caused by wrong output.
6. Permission management: multi-level permission setting, which is
convenient for management.
7. Data management: Manage various data, protect the integrity and
security of the data, and have functions such as query and export
to meet the data management needs of the production line.
8. Safety protection: Over-current protection, over-voltage
protection, under-voltage protection, leakage current protection
and emergency protection, etc.
9. Massive data: Support massive data storage and analysis; MES
system docking, etc.
10. Flexible startup: Support multiple startup methods such as scan code startup, button startup, remote startup, etc.
Main Features
| Standards applied | ISO 6469, IEC 62196, etc |
| Test accuracy | Basic accuracy 1% |
| Safety | The test has a slow rise and slow fall function (time can be set) to ensure that the tested load will not be impacted during the critical period, and it is safer. |
| Multiple chooses for charging gun | Support AC charging gun, DC charging gun test |
| Structure optimization | Standardization and customization are combined, scalability and security are simultaneously developed, the structure is simple, and the logic is clear |
| Strong applicability | A variety of hanging methods are available-hanging trolley, accompanying trolley, hanging rack, cantilever hanging, etc. |
| High intelligence | All items do not need to be connected to the measurement cable repeatedly, and all the tests can be completed in one connection. |
| Modular | The system architecture design is modular and flexible, and the system is easy to update and expand, and is easy to maintain and upgrade |
| Flexible customization | According to the needs of customers, provide customized development and design of industry platforms, such as automatic door opening lighting, air conditioning heat dissipation |
| Site construction | Project construction management, installation knowing, equipment debugging, etc. |
Main Configuration
| Power Supply | 220V±10%, 50Hz±5% |
| Working Environment Requirements | 0-45℃, ≤85% |
| System Configuration | High-profile industrial computer + 21.5-inch true color LCD display |
| UPS uninterruptible power supply | |
| Wireless one-dimensional two-dimensional scanning gun | |
| Sticker and receipt printer | |
| PLC interface, USB interface, network interface, alarm light interface, foot switch interface, printer interface, barcode gun interface | |
| Safety Protection | The device does not start high-voltage detection if the charging gun is not plugged in; Unplug the charging gun in the detection state, the device should respond in time to cut off the power supply to the socket |
Detailed Introduction
Vehicle insulation resistance test
1 Principle introduction
1.1 Power on the vehicle to ensure that all power and electronic
switches on the vehicle are in an active state.
1.2 Measure the voltage between the two terminals of REESS and the
electric platform, as shown in the figure below, the higher one is
U1, and the lower one is U1'.
1.3 Add a known resistance R0 (1MΩ). Connect in parallel between the U1 side terminal of REESS and the electric platform as shown in the figure below.Measure the voltage between the two terminals of REESS and the electric platform, and the measured values are U2 and U2'.


2 Parameter requirements:
2.1 Under the maximum working voltage, the minimum insulation
resistance of the DC circuit should be greater than 100Ω/V, and the
AC circuit should be greater than 500Ω/V
2.2 The lower limit of insulation resistance is recommended to be
0.375MΩ.
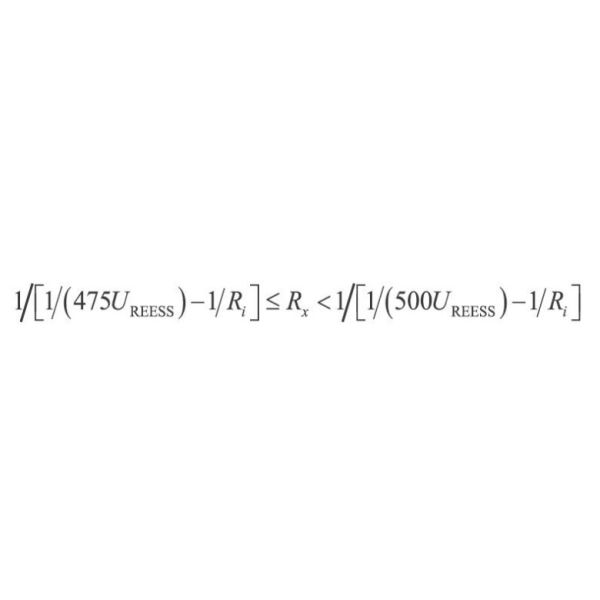
Insulation detection function verification
1. The current insulation resistance value of the entire vehicle is
measured as Ri.
2. Put the vehicle into "driving mode" according to the normal
operation process of the vehicle under test.
3. Reduce the resistance of the adjustable resistor to the target
value Rx, which is calculated according to the following formula.
4. Confirm whether the vehicle has sound and light alarm.
Calculation formula
When the minimum insulation requirement is 100Ω/V, the resistance
value is:

When the minimum insulation requirement is 500Ω/V, the resistance value is:

UREESS is the current total voltage of the battery pack.

Potential equalization test
1 Principle Introduction
1.1 Take a specified current from a power source with no load not exceeding 12V, apply it to the ground wire of the vehicle charging port, the exposed conductive shell of the parts and the frame, and measure the voltage drop to finally calculate the grounding resistance value.
1.2 Test the conduction resistance between the ground wire of each charging interface of the car, the exposed conductive shell of the parts and the frame of the vehicle with a distance of no more than 2.5m.

Charging Gun Interface Insulation Resistance Test
1 Principle Introduction
The positive and negative terminals of the charging socket are short-circuited through the inside of the meter, and the tester inputs a high DC voltage to the vehicle through the charging gun. The high voltage exists between the positive and negative terminals and the frame, and finally the insulation resistance of the charging socket is calculated value.


|